Forma trigonométrica

11. Forma trigonométrica

Definição

Considerando c = a + bi ≠ 0, sendo {a; b} ⊂ R logo: 

Assim, o número complexo c pode ser escrito utilizando somente ρ e θ, na forma trigonométrica ou forma polar, pois:

c = a + bi = ρ cos θ + ρ sen θ . i = ρ(cos θ + i . sen θ) 

Portanto:

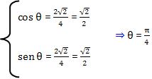
Exemplo

Considerando

1) módulo de c: ρ = 

2) argumento de c:

3) forma trigonométrica:

Pela Web

Sair da versão mobile