Deficiência

Deficiência 
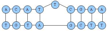
A deficiência ocorre quando há perda de uma das bases.

Pela Web

Sair da versão mobile