Movimentos Periódicos

Aplicações

01. Um móvel percorre uma trajetória circular de 4m de raio, dando 4 voltas em 8s. Quais as velocidades tangencial e angular do móvel?

Solução:

Comecemos pelo período:

4 voltas 8s

1 volta T

Então: T = 2s 

Agora, a velocidade tangencial: 

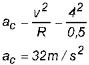
02. O Paulinho imprime à sua bicicleta uma velocidade de 4m/s. Se o raio da roda da bicicleta for igual a 50cm, qual será a aceleração centrípeta de um ponto de sua periferia?

Solução:

R = 50cm = 0,5m; v = 4m/s 
       

03. (Fuvest–SP) Uma bicicleta parte do repouso e percorre 20m em 4s com aceleração constante de 2,5m/s2. Sabendo que as rodas têm 40cm de raio, com que freqüência estarão girando no fim do percurso?

Solução:

A velocidade da bicicleta ao final do percurso:

v = vo + at = 0 + 2,5 x 4 v = 10m/s
A freqüência será:

R = 40cm = 0,4m 

MOVIMENTOS PERIÓDICOS

Aqueles que se repetem identicamente em intervalos de tempo iguais.

Grandezas características:

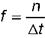
a) Freqüência (f) – Representa o número de voltas (n) que o móvel efetua por unidade de tempo:
 (unidade no SI: rotações por segundo (rps), que recebe o nome de hertz – Hz).

b) Período (T) – Representa o intervalo de tempo correspondente a uma volta completa: 
   (unidade no SI: segundo – s).

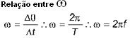
Relação entre T e f – O período é o inverso da freqüência: 
f = 1/T ou T = 1/f 

Pela Web

Sair da versão mobile