As cônicas

As cônicas – hipérbole, parábola, elipse e a circunferência, possuem todas elas, um aspecto singular: podem ser obtidas através da interseção de um plano convenientemente escolhido com uma superfície cônica, conforme mostrado na figura a seguir:

Antes de prosseguir, não resisto a fazer mais uma afirmação verdadeira:

A circunferência é, na realidade, uma elipse perfeita, cuja excentricidade é nula.

Os admiradores da elipse, poderão eventualmente afirmar equivocadamente: a circunferência é uma elipse imperfeita! Eu, prefiro a primeira assertiva, pois é a correta!.

Brincadeiras à parte, prossigamos!

No caso da elipse já sabemos que:

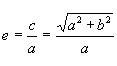
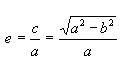
excentricidade = e = c/a

Como é válido na elipse que a2 = b2 + c2 , vem que:

Ora, como c < a , vem imediatamente que e < 1. Também, como a e c são distâncias e portanto, positivas, vem que e > 0. Em resumo, no caso da elipse, a excentricidade é um número situado entre 0 e 1 ou seja:
0 < e < 1.

Observa-se que a elipse é tanto mais achatada quanto mais próximo da unidade estiver a sua excentricidade.

Raciocinando opostamente, se o valor de c se aproxima de zero, os valores de a e de b tendem a igualar-se e a elipse, no caso extremo de c = 0, (o que implica e = 0) transforma-se numa circunferência. A circunferência é então, uma elipse de excentricidade nula.

No caso da hipérbole , já sabemos que c2 = a2 + b2 e, portanto,

Neste caso, c > a, o que significa que a excentricidade de uma hipérbole é um número real maior do que a unidade, ou seja e > 1.

Observe na fórmula acima que se as medidas a e b forem iguais, ou seja
a = b, teremos uma hipérbole equilátera, cuja excentricidade será igual a e =  2, resultado obtido fazendo a = b na fórmula acima.

Resumindo, observe que sendo e a excentricidade de uma cônica:

Quanto à parábola , podemos dizer, que a sua excentricidade será igual a 1? Em a realidade, a excentricidade da parábola é igual a 1; Vamos desenvolver este assunto a seguir:

Pela Web

Sair da versão mobile