Coordenadas do Baricimetro de um Triângulo

Aplicação

Calcule as coordenadas do ponto médio M do segmento , sendo A (6, 10) e B(2, 8).

Solução:

Resposta: M (4, 9)

COORDENADAS DO BARICENTRO DE UM TRIÂNGULO

Baricentro de um triângulo ao ponto G é a intersecção das três medianas deste triângulo.

Mediana de um triângulo é um segmento de reta que sai de um vértice e divide o lado oposto a este em duas partes iguais.

A abscissa e a ordenada do baricentro de um triângulo ABC é igual a média aritmética das abscissas e ordenadas, respectivamente, de seus vértices.



Aplicação

Seja um triângulo cujos vértices são A (2, 4), B (5, 7), C (8, 1); calcule as coordenadas do baricentro.

Solução:

Resposta: G (5, 4)

PONTOS COLINEARES

Sejam A(x1, y1), B(x2, y2) e C(x3, y3) três pontos do plano cartesiano. A condição necessária e suficiente para que os três pontos estejam juntos na mesma reta (alinhados) é que:



Aplicação

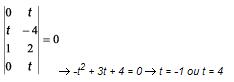
Determinar o valor de t para que os pontos A (0, t), B (t, – 4), C (1, 2) estejam alinhados.

Solução:

Para que A, B e C estejam alinhados devemos ter: 


Resolvendo-se o determinante e eliminando-se a última coluna e repetindo a primeira linha no fim, formando uma quarta linha, temos:

Observação: Para pontos não colineares (vértices de um triângulo, por exemplo), devemos ter a mesma matriz mostrada anteriormente, mas diferente de zero.

Pela Web

Sair da versão mobile