Densidade relativa do gás G1 em relação ao gás G2

11. Densidade relativa do gás G1 em relação ao gás G2

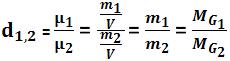
A densidade relativa entre esses gases (G1 G2) é o quociente existente entre a densidade exata de G1 e a densidade exata de G2, que foram medidas com a mesma pressão e temperatura. 

Observe:

Contudo a densidade relativa não depende a pressão e da temperatura.

Em relação ao ar , a densidade relativa do gás, temos: 

Densidade do gás em relação ao hidrogênio :

Independente da pressão e da temperatura teremos: 

Observe

Pela Web

Sair da versão mobile