Arco Duplo

2. ARCO DUPLO

Usaremos as fórmulas da soma e da subtração de dois arcos para obter as fórmulas do arco duplo. 

Aplicação


3. TRANSFORMAÇÃO EM PRODUTO

As fórmulas de adição e subtração de arcos podem ser transformadas em produtos a partir de: 

Aplicação
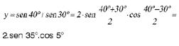
Transformar em produto a expressão y = sen 40° + sen 30°.

Solução:

m = 40° e n = 30°

Aplicando a forma fatorada de sen m + sen n, temos: 

4. EQUAÇÕES TRIGONOMÉTRICAS 
É toda equação em que figura uma função trigonométrica com arco desconhecido. Chamam-se soluções de uma equação trigonométrica os valores da variável, caso existam, que satisfazem a equação dada.

Exemplos:

a) sen x = – 1

b) cos x = 0

Pela Web

Sair da versão mobile