Bases mais usadas: e, 10

6- Bases mais usadas: e e 10 

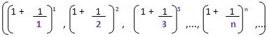
O limite de uma seqüência é o número real e irracional e inserido por Euler. 

Quando n aumenta indeterminadamente, temos: 

Os logaritmos de base e são também chamados de logaritmos neperianos, em homenagem a John Napier, um matemático que foi quem publicou a primeira tabela de logaritmos no ano de 1614, mesmo essa não sendo a tabela de base e.

Os logaritmos de base e, representados por logeN ou In N, com as propriedades de qualquer logaritmo de base a > 1.
Em 1615, Henry Briggs sugere a Napier a hipótese de usar uma base decimal para os logaritmos, por ser mais adequada. Em 1617, Briggs publicou a tabela de logaritmos de base 10. 

Os logaritmos de base 10 são bastante utilizados em cálculos numéricos, são também conhecidos como logaritmos decimais ou logaritmos de Briggs. Os logaritmos são representados por log10N ou log N.

Pela Web

Sair da versão mobile