Limite Exponencial

10. Limite Exponencial 

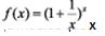
Dada a função ,à medida que x tende ao infinito, a imagem de f tende ao número 2,7182818….., também conhecido por número de Euler, ou seja x , então f(x) 2,7182818….. O número 2,7182818…. é um número irracional, que é a base dos logaritmos neperianos. Sua representação é a letra e, ou seja, e = 2, 7182818…

Pela Web

Sair da versão mobile