Parábola

3. Parábola 

Definição 

Considerando um ponto F (foco) e uma reta d (diretriz), sendo F ∉ d, pertencentes a um mesmo plano, definimos parábola como o lugar geométrico dos pontos P do plano eqüidistante do ponto F e da reta d.

PF = Pd 

Elementos principais 

F é o foco
d é a diretriz
V é o vértice
p = 2 . f é o parâmetro (FV = Vd = f)
 é o eixo das simetrias

Equação reduzida 

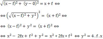
Suponha a parábola da figura: eixo de simetria contido no eixo “x” e vértice na origem. 

Referente ao sistema de eixos cartesianos, temos: 

Foco: F(f; 0)
Diretriz: x = -f 

Supondo P(x; y) como um ponto genérico da parábola, da definição PF = PD, resulta: 

A equação:  y2 = 4 . f . x 

chamada de equação reduzida da parábola com eixo de simetria contido no eixo “x” e vértice na origem, quando a hipérbole estiver voltada para a direita. 

Quando a parábola estiver voltada para a esquerda, sua equação reduzida será: 

y2 = – 4 . f . x 

Excentricidade 

A excentricidade na parábola é a razão: 

Pela Web

Sair da versão mobile