Nomenclatura para hidrocarbonetos

grupo funcional > insaturação > radical

A numeração deve seguir a regra dos menores números possíveis.

Se, após as regras anteriores, ainda restar mais de uma possibilidade, iniciar a numeração pela extremidade mais próxima do radical mais simples (o menos complexo).

Em caso de dois ou mais radicais iguais na mesma cadeia, usar os seguintes prefixos para indicar a quantidade, ligados ao nome dos radicais: di (2 radicais iguais), tri (3 radicais iguais), tetra (4 radicais iguais). Não se esqueça de que os números (numeração dos carbonos) indicam a localização e não a quantidade de radicais.

O nome do último radical mencionado deve vir ligado ao nome da cadeia principal, exceto nos casos em que o nome da cadeia principal começar com a letra h (hex, hept), onde deve vir precedido de hífen.

Os radicais podem ser mencionados em ordem de complexidade (por exemplo: metil antes de etil), ou ainda em ordem alfabética (etil antes de metil). A ordem alfabética é bem menos usada.

Aplicação

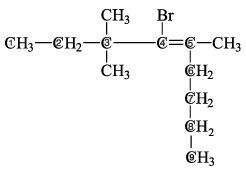
Dê a nomenclatura oficial do composto abaixo:

Solução:

3,3,5 – trimetil – 4 – noneno

1.º – Numerar a cadeia principal, partindo da extremidade mais próxima da ligação dupla; estando a dupla ligação no meio da estrutura, busque a extremidade mais ramificada possível.

2.º – Iniciar a nomenclatura posicionando os radicais, obedecendo à ordem alfabética dos mesmos.

3.º – Dar o nome da cadeia principal.

Haletos

São compostos derivados dos hidrocarbonetos pela troca de um ou mais hidrogênios por halogênios (F, Cl, Br, I).

Exemplos: CH3Br; CHCl = CCl2 ; CCl2F2

Nomenclatura

Oficial (IUPAC):

O halogênio é considerado apenas uma ramificação presa à cadeia principal.

Usual:

Usam-se as palavras cloreto, brometo, etc, seguido do nome do radical orgânico. Observe:

Haleto orgânico: R – X

onde, R = radical orgânico.

X = halogênio.

Aplicação

Dê a nomenclatura oficial do composto abaixo:

Solução:

2 – cloro 2 – metil – butano

1.º – Numerar a cadeia principal, partindo da extremidade mais próxima do radical.

2.º – Iniciar a nomenclatura posicionando os radicais, obedecendo à ordem alfabética dos mesmos.

3.º – Dar o nome da cadeia principal.

Pela Web

Sair da versão mobile