Medida do potencial-padrão do zinco

18. Medida do potencial-padrão do zinco

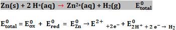
Podemos usar a pilha esquematizada abaixo para mensurar o potencial-padrão de redução do zinco. 

O zinco é mais reativo que o hidrogênio, portanto sofre oxidação.

Equação global

Através de um voltímetro, determina-se experimentalmente:

Logo, temos:

Podemos determinar o potencial de redução do zinco invertendo a semi-reação de oxidação:

Pela Web

Sair da versão mobile