O que é Cinética Química

Cinética Química

Estuda as velocidades das reações químicas, bem como os fatores que podem modificá-las.

Considere a reação:

1N2(g) + 3H2(g) 2NH3(g)

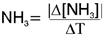
A Vm pode ser calculada considerando D[ ] (variação da concentração molar em módulo):

Vm de consumo de      velocidade média de consumo de N2.

Vm de consumo de       velocidade média de consumo de H2.

Vm de produção de        velocidade média de produção de NH3
 
Unidade:

Para a velocidade média da reação temos: 
    

Observação:
Para calcular a velocidade média da reação, basta dividir a velocidade de um dos participantes pelo seu próprio coeficiente.

Aplicação

A combustão da amônia é representada pela equação química:

4NH3(s) + 5O2(g) 4NO(g) + 6H2O(g)

Mediu-se a velocidade da reação em determinado momento e observou-se que a amônia estava sendo queimada numa velocidade de 0,24 mol/ ls. Qual a velocidade de consumo do gás oxigênio?

Solução:

condições para que uma reação ocorra
1. Afinidade química Os reagentes devem ter tendência a entrar em reação.

2. Contato entre os reagentes A fim de que possa haver interação química.

3. Choque bem orientado:

Pela Web

Sair da versão mobile