Teorema do Binômio de Newton

8- Teorema do Binômio de Newton
a) Sendo x e y dois números reais e n um número natural, temos: 

b) Utilizando o símbolo de somatória, temos:

c) O termo de ordem k + 1 do desenvolvimento de (x + y)n, feito segundo os expoentes decrescente de x é:

d) O termo de ordem k + 1 do desenvolvimento de (x + y)n, feito segundo os expoentes crescente de x é: 

e) Número de parcelas: o desenvolvimento de (x + y)n tem n + 1 parcelas.

f) Cálculo do coeficiente

Podemos obter os coeficientes numéricos  através da definição de Números Binomiais ou pela linha do Triângulo de Pascal. 

Mas existe uma forma mais simples e prática de calcular os coeficientes, que basta saber que o primeiro será sempre 1 e o restante obtemos a partir do anterior através da Relação Fermat:  .

Observe:

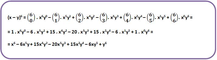
g) Observe que (x – y)n = [(x + (– y)n] e que (– y)0 = y0, (– y)1 = – y1, (– y)2 = – y2, (– y)3= – y3… , temos:

h) A soma dos coeficientes numéricos do desenvolvimento de (ax + by)n, com a e b consoantes, obtém-se fazendo x = y = 1. A soma vale para (a . 1 + b . 1)n, que resulta em: (a + b)n.

Exemplo:

Pela Web

Sair da versão mobile