Análise Combinatória
Redação
14 anos atrás
Fatorial de um número:
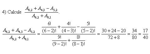
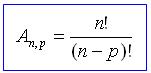
Arranjo simples:
Pela Web
Sair da versão mobile